Table des matières
- Précédente - Suivante
1.2.2. Vie du complexe grain - micro-organismes
1.2.2.1. Chaleur dégagée par une masse de grains
Nous avons vu que la respiration était l'expression du métabolisme des grains et des micro-organismes qui leur sont associés. Les processus vitaux peuvent être schématisés par les réactions de dégradation d'un glucide simple.
En présence d'oxygène la dégradation se concrétisera par:
une perte de matière sèche
un dégagement de gaz carbonique
une production d'eau
une production de chaleur
Cette réaction est couramment observée dans les masses de grains stockées humides, elle provoque dans un délai très bref (quelques heures à quelques jours) une forte élévation de température, le développement des moisissures, la germination et la prise en masse de l'ensemble du lot.
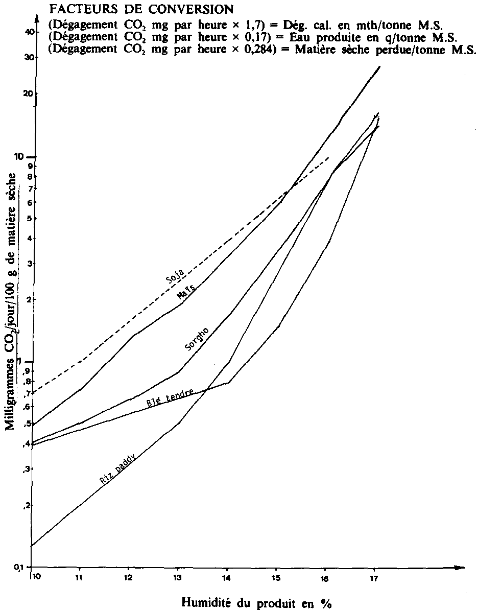
La vitesse de dégradation du produit pourra être appréciée de façon précise en laboratoire, en mesurant la quantité de gaz carbonique (CO2) dégagée par 100 grammes de grain (matière sèche) en 24 heures (Fig. 4).
Du dégagement de gaz carbonique, la quantité de chaleur produite se déduit par la relation:
| q = 1,07 d dans laquelle: | d = mg CO2/24 h/100 g MS |
| q = mth/heure/tonne matière sèche |
Des formules empiriques permettent de calculer le dégagement de chaleur d'une masse de grain.
La plus simple, utilisable jusqu'à environ 28° C est de la forme q = K eaq
où
q = mth/heure/tonne de matière sèche
k = constante liée à l'humidité du produit
a = constante (0,139 pour les céréales)
q = température en °C
Exemple: - valeur de K pour du mais.
| Humidité % MH | 16 | 17 | 18 | 19 | 21 |
| K | 0,463 | 0,689 | 1,035 | 1,581 | 3,411 |
Jusqu'à 28 % d'humidité, le dégagement de chaleur double tous les 1,5 % d'humidité (au-delà de 30 % l'influence de l'humidité sera plus faible: doublement tous les 6 % environ).
Fig. 4: Production de CO2 de différentes graines.
- valeur de la fonction eaq
| Température (°C) | 5° | 10° | 15° | 20° | 25° |
| eaq | 2,005 | 4,020 | 8,03 | 16,10 | 32,30 |
En première approximation on vérifie que le dégagement de chaleur double lorsque la température s'élève de 5° C. Au-delà de 28° C l'effet de température diminue progressivement et le dégagement de chaleur devient proportionnel à la durée de stockage.
Les deux principaux facteurs du dégagement de chaleur sont donc la teneur en eau et la température. Ce ne sont pas les seuls; ainsi la date de récolte peut avoir une influence. On constate que du grain récolté tardivement conserve après séchage une intensité respiratoire supérieure à celle du grain qui n'a pas subi de dessications et réhumidifications successives. Ceci peut conduire à préférer un séchage artificiel précoce à un séchage naturel prolongé sur pied (mais, riz).
1.2.2.2. Incidence de la température
La température joue un rôle très important dans la conservation des produits car elle conditionne non seulement la vitesse de dégradation du complexe grain-micro-organismes mais aussi la vitesse de développement des micro-organismes (optimum spécifique de développement et sélectivité des cortèges floristiques: espèces thermophiles, thermotolérantes) et des insectes (voir plus loin). Pour les semences, la température constitue également un facteur essentiel de conservation du pouvoir germinatif qui est détruit dès que l'on dépasse une quarantaine de degrés pour les céréales et 350 pour les oléagineux.
Seuils moyens de développement:
| Moisissures et bactéries | : -8° C à +80° C |
| Insectes | : 13° C à 41° C |
| Seuils de germination | : 16° C à 42° C |
La conductibilité thermique des grains étant faible, la chaleur produite s'accumule et provoque l'auto-accélération des phénomènes de dégradation. Pour éviter ces inconvénients, il est possible (nécessaire!) de procéder à une ventilation de maintien dont le but n'est pas de bloquer le métabolisme mais seulement d'évacuer la chaleur qu'il dégage afin d'éviter son accélération.
L'effet de la température est étroitement lié au facteur essentiel qu'est la teneur en eau de produit.
1.2.2.3. Incidence de la teneur en eau
L'humidité du produit stocké intervient à plusieurs titres dans les processus de dégradation:
une forte teneur en eau signifie une eau faiblement ou non absorbée et solvante qui favorise la mobilité des constituants à l'intérieur du grain et accélère les réactions de dégradation interne,
cette eau «disponible» permet aux bactéries, levures et moisissures de se développer et d'accroître ainsi l'altération du grain qui leur sert de substrat.
Nous avons vu que les grains constituent un matériau hygroscopique, c'est-à-dire qu'ils ont la faculté d'échanger de l'eau (sous forme vapeur) avec le milieu ambiant. A une température donnée, cet échange est caractérisé par un équilibre entre l'eau contenue dans le grain et l'eau (vapeur) présente dans l'air qui l'environne: c'est l'équilibre Air-Grain. Ce point faisant appel à la notion d'humidité relative de l'air, il nous semble utile d'en rappeler la définition.
L'humidité relative de l'air (ou degré hygrométrique) est le rapport (en %) de la pression partielle de vapeur d'eau (Pv) dans l'air à la pression de vapeur saturante (Ps) à la même température q :
H % = 100.
Elle est également définie comme le rapport (en %) du poids de vapeur d'eau contenu dans 1 kg d'air au poids maximum de vapeur que peut contenir cet air lorsqu'il est saturé (à une température donnée).
L'air sec a le pouvoir d'absorber de l'eau vapeur jusqu'à saturation.
L'air est dit saturé lorsqu'il ne peut plus absorber d'eau, il a alors une humidité relative de 100 %. La quantité maximum de vapeur d'eau que peut contenir l'air varie très fortement avec sa température; comme l'indique le tableau suivant:
POIDS DE VAPEUR D'EAU CONTENU DANS 1 KG D'AIR SEC à DIVERSES TEMPÉRATURES
| Température de l'air ° C | 0 | 10 | 20 | 30 | 40 |
| Poids maximum de vapeur d'eau (en g) | 3,9 | 7,9 | 15,2 | 28,1 | 50,6 |
| Température de l'air °C | 50 | 60 | 70 | 80 | 90 |
| Poids maximum de vapeur d'eau (en g) | 89,5 | 158,5 | 289,7 | 580,0 | 1 559 |
Le réchauffage de l'air augmente la quantité d'eau vapeur qu'il peut contenir, il augmente donc son «pouvoir séchant».
Exemple: Humidité relative d'un air à 40° C contenant 25,3 g de vapeur d'eau par kilogramme
H % = 25,3/50,6 x 100 = 50 %
Application 1: Humidité relative de cet air contenant 25,3 g de vapeur d'eau par kilogramme à 30° C
H % = 25,3/28,1 x 100 = 90 %
Application 2: Poids de vapeur d'eau contenu dans 1 kg d'air à 60° C et 40 % d'humidité relative
m = (158,5 x 40)/100 = 63,4 g.
Équilibre air-grain
Les grains et l'air interstitiel mis en contact prolongé tendent vers un équilibre caractérisé par:
- une même température,
- une même tension de vapeur d'eau.
Pour chaque produit (voire même chaque variété du produit), cet équilibre est représenté par une «courbe d'équilibre hygroscopique»tracée point par point. Pour une température donnée, à chaque valeur de l'humidité relative de l'air correspond une valeur de l'humidité du grain (courbe à allure sigmoïde). Prenons l'exemple du riz (Fig. 5):
A 25° C, le riz à 15 % d'humidité est en équilibre avec de l'air à 78 % d'humidité relative. Si la masse de riz est ventilée avec de l'air à 25° C et à 60 % d'humidité relative, elle tendra vers une humidité de 12,5 %.
| Application: | Quelle sera, à 25° C, l'humidité d'équilibre d'un riz à 15 % d'humidité ventilé avec de l'air à 85 % d'humidité relative. |
| Réponse: | le riz se réhumidifiera jusqu'à 16,4 %. |
Les recherches ont montré que la fraction d'eau comprise entre la courbe d'équilibre et la partie linéaire extrapolée est une eau suffisamment libre pour constituer un milieu de diffusion favorable aux réactions chimiques et enzymatiques, ainsi qu'au développement des micro-organismes (Fig. 6).
Fig. 5: Courbe d'équilibre air-riz.
Pour une température donnée, il est possible de définir des niveaux minimum d'humidité relative au-dessous desquels les réactions sont très ralenties, voire annulées. En se reportant à la figure n° 6 établie à une température de 20° C, on note qu'entre 25 % et 60 % d'humidité relative il n'y a pas d'eau solvante disponible ce qui bloque les réactions enzymatiques et le développement des micro-organismes. Seules les réactions de Maillard (cf. 1.1.2.3) peuvent avoir lieu au-dessous de 50 % d'H. R. si la température est élevée (séchage) ou si la durée de conservation est très longue.
L'humidité maximum recommandée pour le stockage est souvent définie comme étant l'humidité d'équilibre avec une humidité relative de l'air de 65-70 % au-dessous de laquelle le développement des micro-organismes et l'activité enzymatique sont arrêtés.
Taux d'humidité maximum pour un stockage de longue durée:
| Maïs | 13 % | Haricots | Arachide | 7 % | |
| Blé | 13 % | (Phaseolus vulgaris) | 15 % | Cacao | 7 % |
| Millet | 16 % | Coprah | 7 % | ||
| Sorgho | 12,5 % | Pois à vache | Noix de palme | 5 % | |
| Paddy | 14 % | (Pisum sativum) | 15 % | Café | 13 % |
| Riz | 13 % |
Fig. 6: Courbe de sorption montrant la présence d'eau solvante (Guilbot et Lindenberg).
Fig. 7: Réactions d'altérations suivant l'humidité.
L'équilibre hygroscopique air-produit est en réalité différent selon qu'il est atteint par dessication de la graine (séchage = désorption) ou par réhumidification (sorption). La courbe figurative de l'équilibre de désorption est toujours légèrement au-dessus de celle de sorption. En général dans la pratique il n'est pas tenu compte de ce «phénomène d'hystérésis».
Les points que nous venons d'aborder concernant l'humidité montrent combien ce facteur est essentiel dans la conservation des produits agricoles.
1.2.2.4. Action combinée de la température et de l'humidité -diagramme de conservation
Les facteurs d'altération (température et humidité) que nous avons envisagés séparément sont en fait étroitement liés. Ainsi, plus la température est élevée et plus il est nécessaire que l'humidité soit faible pour assurer une bonne conservation. A titre d'exemple, reprenons les «courbes d'équilibre Air-Grain» (Fig. 8). Ces courbes étant établies à une température donnée, pour différentes températures elles forment un réseau de courbes isothermes.
Soit du maïs à 15 % d'humidité et à 25° C; son point figuratif est dans la zone d'instabilité. Dans les pays disposant de température froide (températures fraîches en automne en France), il est possible de refroidir progressivement le grain par ventilation pour l'amener dans une zone proche de la stabilité: c'est le chemin n° 1. Par contre, dans les régions chaudes, le grain conserve toujours une température importante. Il n'est donc possible d'atteindre la zone de stabilité qu'en abaissant son humidité: c'est le chemin n° 2.
Fig. 8: Coure d'équilibre - air-maïs-grain.
Reprenons la courbe au niveau de la zone critique de stabilité.
Ce schéma montre pourquoi, dans les régions tropicales, les taux d'humidité maximum recommandés sont toujours inférieurs à ceux des régions tempérées et froides. En outre le métabolisme du complexe grain-micro-organismes est fortement ralenti à basse température.
Ceci explique également les problèmes de conservation souvent observés avec les céréales importées. En France, le blé à 15 % d'humidité peut être conservé en le refroidissant. Ce même blé, déchargé en régions chaudes, se réchauffe et son point figuratif sur le diagramme de conservation (Fig. 9) quitte la zone de bonne conservation. Il risque alors de s'altérer rapidement. Deux solutions sont envisageables:
- séchage du produit à l'arrivée pour l'amener aux «normes» locales de conservation. Ceci nécessite des installations de séchage dans le pays importateur.
- achat de produits «secs» qui impose dans les transactions commerciales une norme plus rigoureuse en matière de taux d'humidité. Le séchage est alors réalisé au niveau du pays exportateur avant chargement.
Diagramme général de conversation (Fig. 9)
BURGESS et BURRELL ont conçu un diagramme général de conservation qui schématise clairement les zones d'action des différents facteurs d'altération en fonction des deux paramètres: température et humidité du produit.
1.2.2.5. Micro-organismes
Les micro-organismes associés aux grains sont les bactéries, les levures et les moisissures. Ces différents agents biologiques entrent en compétition lorsque les conditions du milieu permettent leur présence simultanée. Nous avons vu qu'ils peuvent se développer dans une plage de température étendue de - 8° C à + 80° C et que par rapport à l'humidité relative de l'air, leurs limites inférieures moyennes de développement sont les suivantes:
bactéries: 90 % - levures: 85 % - moisissures: 65 %
Ce sont donc les moisissures qui constituent la menace la plus fréquente en cours de stockage.
a) LES MOISISSURES
Au niveau du stockage, les genres les plus représentés sont les Aspergillus et les Penicillium (Fig. 10).
Fig. 9: Diagramme de conservation des céréales.
Fig. 10: Schéma Penicillium et Aspergillus.
En pratique, du champ au silo, les espèces présentes dans les grains évoluent et l'on distingue une flore du champ, puis une flore intermédiaire à laquelle se substitue une flore de stockage: chacune d'entre elles ayant ses espèces caractéristiques
| FLORES | fréquentes | fidèles |
| du champ | Fusarium culmorum | Alternaria tenuissima |
| Fusarium poae | Epicoccum nigrum | |
| intermédiaire | Verticillium sp. | Cladosporium cladosporioides |
| LEVURES (Candida sp.) | Aureobasidium pullulans | |
| de stockage | Aspergillus niger | Aspergillus repens |
| Penicillium frequentans | Penicillium cyclopium | |
| A. versicolor | ||
| P. puberulum | ||
| A. flavus | A. candidus | |
| P. stoloniferum | A. echinulatus | |
| A. amstelodami | P. spinulosum |
Les trois facteurs essentiels de développement des micro-organismes sont l'humidité, la température et l'atmosphère interne, auxquels s'ajoutent des facteurs tels que le pH, la nature du substrat et des facteurs biotiques (compétitivité des espèces...
- Humidité
Les moisissures ne se développant pas à une humidité relative de l'air inférieure à 65 % en général, l'humidité d'équilibre de chaque denrée avec cette valeur de 65 % est retenue comme seuil d'humidité de sauvegarde, lequel varie selon la denrée et la température. Seules les moisissures xérotolérantes se développent à proximité de ce seuil, la plupart des espèces préférant les humidités relatives comprises entre 85 et 100 %.
- Température
Nous avons vu que le domaine de développement des microorganismes, en fonction de la température, était très vaste: de - 80 C à + 800 C. Pour chacune des espèces de moisissures, il est cependant plus restreint - Ex.: Aspergillus flavus: de 12 à 45° C. L'optimum de développement se situe dans la plupart des cas entre 20° C et 40° C (Aspergillus flavus: 35° C).
Composition des gaz du milieu (atmosphère interne)
Les moisissures sont réputées aérobies, cependant certaines peuvent se contenter de traces d'oxygène (espèces micro-aérophiles). D'autres enfin, telles que les Mucorales, résistent à l'anaérobiose.
Sous l'action de ces trois facteurs on observe une évolution de la microflore schématisée ci-dessous:
b) ALTÉRATIONS DES GRAINS
Les moisissures peuvent altérer, voire détruire, la vigueur et le pouvoir germinatif des semences.
Altération des grains de consommation
Les micro-organismes altèrent les caractères organoleptiques.
| - aspect: | pigmentations anormales - décoloration |
| - odeur: | nauséabonde de moisi ou de terre (dans les grains échauffés) |
| - goût: | altération du goût qui rend les grains inappétents ou inutilisables en industrie alimentaire (arrière-goût des fèves de cacao ou des grains de café). |
Diminution de la valeur du produit
- perte de matière sèche: les micro-organismes se développent aux dépens des éléments constitutifs du grain. Ils dégradent les glucides, les protides et certains éléments vitaminiques. Les champignons et notamment l'Aspergillus sp. et Penicillium spp. ont une activité lipolytique importante. Elle se traduira par une diminution de l'huile contenue dans le grain et une augmentation de la teneur en acides gras libres avec des conséquences particulièrement graves pour les oléagineux (cf. 1123).
Le principal problème posé par l'envahissement des grains par les micro-organismes est certainement celui des risques sanitaires qu'ils peuvent engendrer: risques de mycoses et d'allergie mais aussi et de façon plus grave pour la santé, les risques de mycotoxicoses. En effet, au cours de leur développement, certaines moisissures peuvent produire des substances toxiques pour l'homme et les animaux. Le tableau ci-après présente les principales:
PRINCIPALES TOXINES SUR GRAINS (d'après JEMMALI, 1979)
| Champignons | Mycotoxines | Substrat naturel | Effets pathologiques | Hôtes |
| Claviceps purpurea | ergotamine | seigle... | gangrène des extrémités | (homme), animaux |
| A. flavus | aflatoxines | arachides | syndrome hépatique | volailles |
| A. parasiticus | B1-B2; G1-G2; M1-M2; P1 | céréales | cancers du foie homme | bétail |
| A. ochraccus | ochratoxines | maïs, orge | infiltration du foie | volailles |
| P. viridicatum | lésion du rein | |||
| Fusarium graminearum | zéaralénone | maïs | effets strogéniques | bétail |
| P. citrinum | citrinine | céréales vêtues | syndromes rénaux | porcs |
| A. clavatus | patuline | céréales | neurotrope | bétail |
| P. expansum | sarcomes de la peau | |||
| Byssochlamys | ||||
| P. cyclopium | ac. pénicillique | céréales | sarcomes, pellagre, coma | animaux divers |
| Fusarium spp. | T2 toxine | maïs | syndrome hémorragique | animaux divers |
| A. versicolor | stérigmatocystine | blé | cancers du foie | animaux de laboratoires |
L'exemple le plus connu et souvent cité est celui de l'aflatoxine découverte en 1960 par des chercheurs anglais en analysant les causes de la «maladie» x «des dindons». Ils découvrirent que ce facteur toxique était lié à la présence d'Aspergillus flavus s'étant développées sur les tourteaux d'arachides ayant servi de nourriture aux animaux.
Sur l'homme et les animaux, cette toxine agit au niveau du foie en entraînant des nécroses cellulaires et la mort par hépatite ou cirrhose. L'aflatoxine est également un puissant cancérigène.
En France, à la suite d'une importation de tourteaux d'arachide contaminés, un arrêté du 29 mai 1980 a fixé les teneurs limites en aflatoxine à :
0,5 ppm pour les végétaux matières premières
0,02 ppm pour les aliments du bétail laitier et les volailles
0,05 ppm pour les aliments des autres animaux.
(ppm = partie par million = 1 g par tonne).
Sachant que l'aflatoxine se retrouve en partie dans le lait des animaux ayant consommé des produits contaminés et que les nourrissons et les enfants sont les plus sensibles, l'Organisation Mondiale de la Santé a fixé à 0,5 ppb (= 1 g pour 2 000 tonnes) la limite de contamination admissible des laits de consommation.
Il est probable que les recherches actuellement menées sur les mycotoxines conduiront à définir des normes supérieures admissibles de plus en plus contraignantes.
Dans les pays tropicaux, ce risque doit être suivi avec une très grande attention car les produits végétaux constituent souvent la base de l'alimentation humaine et le «filtre» que, dans d'autres pays, peuvent représenter les animaux, est souvent absent dans la chaîne alimentaire.
Composition du milieu ambiant
Les grains constituent un matériau poreux où 30 % à 50 % du volume en place est occupé par de l'air. Un équilibre (température - humidité) s'établit entre cet air interstitiel et le grain. Enfin, la composition de l'atmosphère intergranulaire détermine le métabolisme aérobie ou anaérobie des grains (Rappel de la composition de l'air
| azote N2 | 78 % |
| oxygène O2 | 21 % |
| autres gaz | 1 % |
| dont gaz carbonique CO2 | 0,03%). |
Dès que la teneur en gaz carbonique atteint 10 % le processus de dégradation n'est plus une oxydation mais une fermentation de type alcoolique ou acétique qui entraîne une modification de la qualité du produit (odeur, goût).
Le gaz carbonique bloque généralement le développement des moisissures. Cependant certaines moisissures peuvent se développer à de très faibles pressions d'oxygène (O2). A moins de 1 % d'O2 certaines levures peuvent prospérer et dans bien des cas une faible teneur en O2 n'inhibe pas le développement des bactéries qui proliféreront d'autant mieux qu'elles ne trouveront plus de microorganismes antagonistes. L'ensemble de ces remarques s'applique surtout au stockage de grains humides. La connaissance précise des seuils d'humidité critiques et des seuils de composition des gaz du milieu fait actuellement l'objet de recherches qui devraient permettre de proposer des alternatives au séchage pour la conservation des récoltes humides.
Table des matières
- Précédente - Suivante