HYDRAULIC RAM
by:
Allen Inversin
Illustrated by:
George R. Clark
Published by:
VITA
1600 Wilson Boulevard, Suite 500
Arlington, Virginia 22209 USA
Tel: 703/276-1800 * Fax:
703/243-1865
Internet: pr-info@vita.org
ISBN 0-86619-243-3
[C] 1985,
Volunters in Technical Assistance, Inc.
1987,
Second Printing
HYDRAULIC RAM
I.
INTRODUCTION
What it is and
How it is Used
Background on
the Papua New Guinea Ram
Decision
Factors
Making the
Decision and Following Through
II.
PRE-CONSTRUCTION CONSIDERATIONS
Site
Selection
Tools
Materials
III.
CONSTRUCTION
Waste Valve
Construction
Check Valve
Construction
IV. INSTALLATION,
OPERATION, and MAINTENANCE
V.
FURTHER INFORMATION RESOURCES
APPENDIX I.
ADDITIONAL PERFORMANCE CONSIDERATIONS
APPENDIX II.
CONVERSION TABLES
APPENDIX III.
DECISION-MAKING WORK SHEET
APPENDIX IV.
RECORD-KEEPING WORK SHEET
I. INTRODUCTION
WHAT IT IS AND HOW IT IS USED
A hydraulic ram is a pump that uses the power of falling
water
to force a small portion of the water to a height greater
than
the source. Water
can be forced about as far horizontally as
desired, but greater distances require larger pipe, due to
friction.
No external power is necessary.
With only two working parts, little maintenance is needed.
Leaves and trash must be cleaned away from the strainer on
the
intake and the clack (automatic valve) and nonreturn or
delivery
valve rubbers must be replaced if they get worn.
The
original cost is almost the only cost.
Two things are needed to make the ram work:
(1) enough water to
run the ram, and (2) enough height for water to fall through
the drive pipe to work the ram.
A small amount of water with
plenty of fall will pump as much as a greater
amount of water with only a little
fall. The greater
the height to
which the water must be raised,
the less water will be pumped.
<FIGURE 1>
06p01.gif (486x486)
BACKGROUND ON THE PAPUA NEW GUINEA RAM
The hydraulic ram presented here was developed in Papua New
Guinea by Allen R. Inversin, an International Voluntary
Services
(IVS) volunteer and Volunteers in Technical Assistance
(VITA)
representative. The
ram is made of commercially available pipe
fittings and two homemade valves that require only a drill
press
and simple hand tools to construct.
It has been tested at drive
heads of 5-4.0 and delivers up to a 70-head, or 20 times the
drive head. It will
deliver several thousand liters per day.
The ram has been extensively tested and is being used
successfully
in field conditions.
To introduce the ram in Papua New Guinea, working rams were
set
up at demonstration sites near communities so that the
community
members could see the ram at work.
Meanwhile the construction
design for the ram was distributed by a local appropriate
technology group.
And, in an important initiative, the ram was
manufactured locally as part of a small business effort.
DECISION FACTORS
The ram can fill a number of water-supply needs in
situations
where water has to be lifted from a water source at a lower
level
to a higher level.
All that is required to make the ram work is
enough water falling fast enough to drive the water through
the
pipe. And if the
fall of water does not occur naturally (and
this is often the case), the fall can be created by running
the
water down an inclined pipe so that momentum is created
solely
within the pipe.
The features of this ram include the following:
o
Water pumping.
o
Water lifting.
o
Capable of lifting/pumping water to higher
levels.
o
Non-polluting and energy-saving--it does
not rely on
fossil fuel
energy.
o
Easy to maintain--it has only two moving
parts.
o
Inexpensive--the major cost is determined
by the
amount of
pipe needed.
o
Easy
to build, install, and operate.
o
The intake must be kept unclogged--this
could be a
problem if
the water source is unusually turbid or
hard to keep
free of debris, even when the intake is
screened.
o
The amount of water capable of being
delivered to the
higher level
may be too small a quantity to meet the
need and/or
to justify expenses.
o
Use of a storage tank for water collection
is a
necessity.
o
Technical/mechanical difficulties arise
with flows
under 2
gallons/minute and heads(*) of less than 1.5
meters.
o
A drill press is needed for construction of
several
parts.
MAKING THE DECISION AND FOLLOWING THROUGH
When determining whether a project is worth the time,
effort,
and expense involved, consider social, cultural, and
environmental
factors as well as economic ones.
What is the purpose of
the effort? Who will
benefit most? What will the
consequences
be if the effort is successful?
And if it fails?
Having made an informed technology choice, it's important to
keep good records.
It is helpful from the beginning to keep
data on needs, site selection, resource availability,
construction
progress, labor and materials costs, test findings, etc.
The information may prove an important reference if existing
plans and methods need to be altered.
It can be helpful in pin-pointing
"what went wrong?"
And, of course, it's important to
share data with other people.
The technologies presented in
this and the other manuals in this series have been tested
carefully, and are actually used in many parts of the world.
However, extensive and controlled field tests have not been
conducted for many of them, even some of the most common ones.
Even though we know that these technologies work well in
some
situations, it's important to gather specific information on
why
they perform properly in one place and not in another.
(*) Head is the distance the water falls before hitting the
ram.
Well-documented models of field activities provide important
information for the development worker.
It is obviously important
for a development worker in Colombia to have the technical
design for a ram built and used in Senegal.
But it is even
more important to have a full narrative about the ram that
provides details on materials, labor design changes, and so
forth. This model
can provide a useful frame of reference.
A reliable bank of such field information is now
growing. It
exists to help spread the word about these and other
technologies,
lessening the dependence of the developing world on
expensive
and finite energy resources.
A practical decision-making work sheet and record-keeping
format
can be found in Appendix III and IV respectively.
II. PRE-CONSTRUCTION
CONSIDERATIONS
The ram works as water runs down through the drive pipe,
picking
up speed until it forces an automatic valve to close
suddenly.
The weight of the moving water, suddenly stopped, creates a
very
high pressure and forces some of the moving water past the
nonreturn or delivery valve into the air chamber,
compressing
the air more and more until the energy of the moving water
is
spent. This
compressed air forces the water up the delivery
pipe to the storage tank in a steady stream.
It takes a lot of falling water to pump a little water up a
hill: only one/tenth
or so of the water will reach the storage
tank at the top of the delivery pipe.
So, while a working fall
from 50cm to 30 meters can be used to "power" a
ram, a general
rule remains:
"The more working fall available, the better."
Remember that fall can occur naturally or it can be achieved
by
running the water down an inclined pipe so that it gathers
momentum.
The hydraulic ram described in this manual:
o Requires only
commercially available pipe fittings and two
homemade valves.
o Can be constructed
by following simple, step-by-step
instructions
requiring no special skills.
o Requires the use
of only hand tools and a drill press.
(The use of a
lathe and grinder might simplify some aspects
of the work but
are not necessary).
o Requires no
welding, brazing, or soldering. Studs
and nuts
and bolts are the
primary load-carrying members. Epoxy
adhesive serves
primarily as a sealant and is not subject
to large stresses.
o Should cost about
$50 (US) (excluding the costs of drive
and delivery
pipes, the ram foundation and housing, and
gate valves since
these costs are part of any ram
installation,
whether homemade or commercial).
o Shows efficiency
comparable to that of commercial rams.
The amount of
water required to operate the pump and the
amount of water
delivered depend on a number of factors.
For delivery heads
about ten times the drive head, the pump
can deliver about
2.5 liters/minute (3,600 liters/day).
Under usual
operating conditions, the ram would use 30-40
liters/minute
though it is possible to adjust the pump so
that less water is
used. Under these conditions,
efficiencies of
65-75 percent are attainable.
SITE SELECTION
The most important pre-construction activity is determining
the
suitability of a given water supply site for use with a
hydraulic
ram.
Water may come from a spring on a hillside or from a
river. The
water must be led into a position where it can pass through
a
relatively short supply pipe to the ram, at a fairly steep
angle
(about 300 [degrees] from the horizontal is good).
A catch basin or
cistern can be used as the source for the drive pipe.
In this
case, it is necessary to control the fall by length and
angle of
the drive pipe. An
open ditch such as one that supplies a water
wheel could be used.
Be sure to put a strainer on top of the
drive pipe to keep trash out of the pipe and ram.
When water is to come from a natural flow, it is necessary
to
measure flow and fall.
Flow can be measured by making a temporary
dam and putting a large pipe or two through it.
Then
catch and measure the water with a bucket of known volume
for
approximately 15 minutes.
This method will give a rough aproximation
on the drawing water available per minute.
<FIGURE 2>
06p06z.gif (600x600)
To measure the fall of water at the water site, you will
need:
<FIGURE 3>
06p07a.gif (486x486)
Place the board horizontally at headwater level and place
the
level on top of it for accurate leveling.
At the downstream end
of the board, the distance to a wooden plug set into the
ground
is measured with a scale.
<FIGURE 4>
06p07b.gif (600x600)
This will give you the amount
of fall for the drive pipe.
Use the same method for determining
the height to which
the water must be raised.
This
height is measured from the
ram level. Once
these figures
are known, it is possible to
determine how much water can
be raised to a given height.
Expressed as an equation,
Amount of water raised by ram =
(gallons)
(feet)
Flow per minute (liters) X twice the fall (meters)
Three times
the (meters) lift above ram
(feet)
It may be useful to use a particular problem:
A water supply site has a fall of three feet.
The ram has to
lift the water 150 feet.
The available flow is 100 gallons per
minute.
How much water will actually be delivered by a ram operating
under these conditions?
100 x 2(3)
water delivered = 3 x 150
water delivered = 600
450
1.3 gallons per minute
OR
water delivered = 78 gallons per
hour
OR
1872 gallons per day
This is the information necessary for you to determine if
the
ram can deliver enough water to meet your need.
If there are
any questions at this point as to the amount of water
actually
needed for a given purpose, e.g., village water supply, make
sure these questions are resolved before construction
begins.
If more water is required than previously estimated, it may
be
possible to increase the fall and/or the size of the drive
and
delivery pipes. But
it wil be far harder to make such changes
after ram construction and installation have begun.
The actual techniques used in construction of the ram will
depend on what tools are available.
The method described here
is low-cost and simple, yet rugged and efficient.
Those who
have had machine shop experience may choose other techniques
of
construction.
<FIGURE 5>
06p09a.gif (600x600)
MATERIALS
The following list of galvanized pipe fittings is for the
ram
only. Note:
The ram was designed and built originally
with pipe
fittings in standard American sizes.
These sizes do not
translate directly into metric units.
Where metric or other
standard pipe is available, equivalent sizes should be used.
All other measurements are metric.
3" x 1-1/2" reducer bushing (another size reducer
bushing may be
required
if a drive pipe smaller or larger than 1 1/2"
is used,
see the comments on drive pipe diameter
on page 42).
2" x 1/2"
reducer tee (if the delivery pipe is longer than
about a
hundred meters, using a 2" x 3/4" or 2" x 1"
tee and
the corresponding size delivery pipe would
reduce
friction losses and permit more water to be
delivered).
2" pipe, about 50 cm long,
2" male-female elbow (90 degrees)
threaded at both
ends
2" cap
3" x 2" reducer bushing
3" tee
WASTE AND CHECK VALVES
The only two parts of the pump that have to be built are the
two
valves--the waste valve and the check valve.
Sectional views of
these valves are shown below and on the next page.
One method
for the construction of each valve is described; alternative
methods for their construction may be preferred.
<FIGURE 6>
06p10.gif (486x486)
<FIGURE 7>
06p11.gif (600x600)
MATERIALS REQUIRED FOR BOTH VALVES
A. 3" x
2-1/2" reducer bushing.
B. 3mm (1/8")
steel plate, two pieces each about 10cm square
square (thicker
plate can be used but it may make construction
a little more
difficult).
C. Several steel
nails about 2mm in diameter (not larger).
D. Epoxy adhesive.
E. 1.90cm
(3/4") x 3mm (1/8") flat mild steel strip at least
21cm long (a 4.5
mm (3/16") thick strip can be used but it
is more difficult
to bend).
F. 11.43cm
(4-1/2") x 9mm (3/8") steel bolt and two nuts.
G. 1.27cm
(1/2") diameter steel bolt with a portion of the
shank unthreaded
or a short length of 1.27cm (1/2") round
rod.
H. Galvanized sheet
about 1mm thick, about 5cm x 10cm.
I. 6mm (1/4")
piece of insertion rubber about 7cm x 12 cm.
J. 2" nipple.
K. 6mm (1/4")
steel plate, about 5cm square.
L. 6mm (1/4")
diameter steel bolt with a portion of the shank
unthreaded or a
short length of 6mm (1/4") round rod.
M. Three 9mm
(3/8") x 3mm (1/8") countersunk metal thread bolts
(or longer) and
nuts.
N. 3.81cm
(1-1/2") x 4.5mm (3/16") round head bolt and nut.
O. Cotter pin or
nail 1-2 mm diameter.
TOOLS
o Drill press with
complete set of drills
o Drill press vise
or clamps
o Hacksaw
o Tin snips, sharp
knife, or razor blade (to cut insertion rubber)
o Hammer (preferably
ball peen)
o Center punch
o Table vise
o Files, round and
flat (a set of small files would also be useful)
o Scribing compass
o Pliers
o Emery or sandpaper
o Ruler
o Square
III. CONSTRUCTION
WASTE VALVE CONSTRUCTION
Make Valve Seat
o Smooth both faces
of the
reducer bushing
(A) by
rubbing each face
on emery
or sandpaper
resting
on a flat surface.
Remove any high
spots
with a file.
o Measure the inside
diameter.
Note that this
measurement does
not
include the width
of
the threads.
o Draw a circle with
a
diameter equal to
the
measurement made
in the
previous step on a
flat
piece of 3mm steel
plate
(B).
<FIGURE 8>
06p13a.gif (353x353)
<FIGURE 9>
06p13b.gif (317x317)
o Draw another
circle with
a radius of 5.0cm
using
the same center.
o Drill a circle of
holes
to remove the
center
portion and file
the inner
circle smooth.
o Cut around the
circle
with a hacksaw and
file
the outside circle
smooth.
The remaining
circle of
3mm steel plate is
the
valve seat.
<FIGURE 10>
06p13c.gif (353x353)
o Round off and
smooth one edge
of the inner
circle of the
valve seat.
Fasten the Valve Seat to the Reducer Bushing
o
Center--carefully--the valve seat on the bushing and
then drill three
holes the size of the nails (C)
around the outside
of the valve seat into the center
of the bushing
wall as shown and countersink slightly.
<FIGURE 11>
06p14a.gif (317x317)
To ensure that the holes
in the valve seat and
bushing are aligned, as
each hole is drilled,
insert a nail to hold
the valve seat in place.
<FIGURE 12>
06p14b.gif (393x600)
o Drill three holes
through the
side of the
bushing as shown.
Use a drill
several times
larger than nails.
o Put the valve seat
and nails in
place.
Make sure that the outside
edge of the valve
set does
not extend beyond
the root of
the threads.
Check this by
screwing the
reducer bushing
(with the valve
seat in place)
into a 3"
tee--feel if there
is any resistance
as it is
screwed in.
File any portion
that extends
beyond.
o Cut off the upper
portion of
each of the three
nails as
shown.
o Prepare the
surfaces of the
valve seat and
reducer bushing
to be glued
(remove any grease
and roughen the
surfaces).
o Apply epoxy (D) on
nails and on
surfaces that
touch and hammer
nails with a ball
peen hammer
to make rivet
heads.
o Hammer a larger
nail with a rounded point
through the three
holes as shown to
bend the foot of
the nail rivets. Do not
bend the nail
rivets too much because
they may break.
o File the heads of
the nail rivets when
the epoxy has
dried. Avoid making deep
scratches on the
valve seat.
<FIGURE 13>
06p15a.gif (486x486)
Make the Valve Guide
o Cut two lengths of
the flatstrip (E),
one 9cm long, the
other 12cm long.
o Mark the longer
length as follows:
<FIGURE 14>
06p15b.gif (486x486)
o Use a vise and
hammer to bend this longer length.
Note the position
of the marks.
(a)
Always keep
this piece
at right
angles
to the vise.
(b)
Reverse the
strip's
position
in the
vise.
Make
the second
bend.
(c)
Place strip in
vise as shown
and make the
third bend.
(d)
Put the opposite
end of the
strip
in the vise
for
the fourth
bend.
<FIGURE 15>
06p16.gif (486x486)
After bending this long piece, it should fit flat over the
shorter, flat piece.
If not, rebend until it does.
<FIGURE 16>
06p17a.gif (437x437)
Fasten the Valve Guide to the Reducer Bushing
o Drill a hole the
size of the nails (C) in the center
of each end of the
valve guide so that each hole ends
up above the
center of the wall of the reducer bushing
(see drawing
below). Make a slight depression around
these holes.
<FIGURE 17>
06p17b.gif (285x486)
o Place the flat
portion of the valve-guide as close to
the center of the
bushing as possible and continue
drilling the holes
into the bushing ...
... then drill
through the wall
of the bushing as
done previously.
<FIGURE 18>
06p17c.gif (167x437)
o Cut the nails to
the proper
length and prepare
the surfaces
to be glued as
before. Glue
the two portions of
the valve
guide to the
bushing with epoxy.
Hammer rivet heads
on the nails.
Bend the foot of
the nail rivets
as before.
Set aside to dry.
<FIGURE 19>
06p18a.gif (285x285)
Drill the Valve Guide
o Locate the center
of the valve guide by placing the
bushing on a flat
surface pushed up against a spacer
block and a
square.
This point is the
center of
the valve guide if
...
<FIGURE 20>
06p18b.gif (317x317)
... the distance between
this point and the
square is constant as
the bushing is held
against the block and
rotated.
o Center punch the
center and drill
a hole about
0.25mm (.010") larger
than the diameter
of the shank of
the 9mm
(3/8") bolt (F) through
both portions of
the valve-guide.
Make sure that the
valve seat lies
compleltely flat
on the drill
press table so
that the drill is
perpendicular to
the valve seat.
<FIGURE 21>
06p19a.gif (353x353)
o Through a piece of
scrap metal the
same thickness as
used in making
the valve guide,
drill a hole and
insert the 9mm
(3/8") bolt almost
all the way.
Measure the maximum
distance the end
of the bolt can
move from side to
side if the
piece of scrap
metal is held firm.
If a 3mm flat
strip was used to
make the
valve-guide, this distance
should be 2 - 3cm
if the
hole is of the
proper size. If
the proper drill
is not available,
an undersized hole
can be filed
larger.
Be very careful not to
overfile the hole.
(A micrometer or
vernier caliper, if available, may
be used to select
the right size drill).
<FIGURE 22>
06p19b.gif (285x285)
Make the Valve Bushing
o Use the 1.27cm
(1/2") bolt or round rod (G).
o Drill a hole in
the center
whose diameter is
equal to
the diameter of
the threaded
portion of the
9mm
(3/8") bolt
(F).
<FIGURE 23>
06p19c.gif (230x230)
o Cut off a length slightly
greater
than the sum of
the thickness
of the steel
plate (B), the galvanized
sheet (H), and
rubber
(I).
<FIGURE 24>
06p19d.gif (256x256)
Galvanized Disc
o Draw a circle with
a diameter of 4.0cm on a piece of galvanized
sheet (H).
<FIGURE 25>
06p20a.gif (186x186)
o Drill a hole in
the
center whose
diameter
is slightly larger
than the diameter
of
the bushing just
completed.
o Cut around the
circle with a hacksawll and file smooth.
Steel Disc
o Draw a circle with
a diameter equal to 6.5cm on a piece of
3mm steel plate
(B).
o Drill a hole in
the center the
same size as that
just drilled.
<FIGURE 26>
06p20b.gif (186x186)
o Cut around the
circle with a
hacksaw and file
smooth.
Rubber Disc
o Drill the same
size hole as in
just completed
steps in the
center of a
7cm-square piece
of rubber
(I). A cleaner cut
can be made if the
rubber is
clamped between
two pieces of
wood before
drilling.
o Align the holes in
the steel
disc and the
rubber disc. Trace
the outline of the
steel disk
on the rubber and
cut out rubber
disc.
<FIGURE 27>
06p21a.gif (186x186)
Valve Assembly and Adjustment
o Assemble the valve
as shown.
<FIGURE 28>
06p21b.gif (230x230)
o The bushing should
be of such a length that when the two
nuts are tightened
against each other, the disks are free to
twist about 1mm up
or down from the horizontal. If the
bushing is too
long, shorten it.
(drawing exaggerated for
illustrative
purposes)
<FIGURE 29>
06p22a.gif (204x204)
Assemble the Waste Valve
o Assemble the
entire valve assembly.
The valve must be
able to move up
and down
completely freely in the
valve guide.
If the shank of the
bolt has any
irregularities or
burrs that prevent
perfectly free
motion, file them
off. Also file
off any epoxy
remaining in the
threads of the
bushing so that it
screws easily into
the 3" tee.
<FIGURE 30>
06p22b.gif (353x353)
CHECK VALVE CONSTRUCTION
Make the Valve Seat
o Measure the inner
diameter of nipple
(J) and smooth the
inside of one end
of the nipple with
a round file.
<FIGURE 31>
06p22c.gif (207x207)
o Draw a circle on a
piece of 6mm (1/4") steel plate (K)
with a diameter
equal to the measurement just made.
o Center punch the
center of the circle.
o Draw another
circle with a radius of 1.4cm.
o Take a blank sheet
of paper and draw circles of the same
size on it.
o With a pencil
divide the inner circle into two half circles.
o Using a protractor
and the dividing line as a reference,
plot a point every
60 [degrees]. Six points total 360
[degrees].
o Draw a straight
line from each point to the center of
the inner circle.
o Cut out the inner
circle of the paper drawing and place
directly on the
top of the scribed inner circle of the
steel plate.
<FIGURE 32>
06p23.gif (256x256)
o Mark the points on
the
steel plate and
carefully
center punch
these points.
o Drill six 1.27cm
(1/2")
holes on the same
piece.
o Drill a 0.47cm
3/16")
hole in the
center.
o Cut around the
circle
with a hacksaw and
file
this circle smooth
so
that this piece
fits
snugly into the
end of
nipple.
<FIGURE 33>
06p24a.gif (230x230)
Fasten the Valve Seat in the Nipple
o Prepare the
surfaces by removing
any grease and
glue from the
valve seat so that
it is flush
with the the top
of the nipple.
o Set the nipple
upside down on a
flat surface to
dry.
<FIGURE 34>
06p24b.gif (207x207)
o Using the drill
press,
drill three holes
the
diameter of the
nails
(C) partially
through
the valve
seat. Be
sure the epoxy is
dry
first.
<FIGURE 35>
06p25a.gif (230x230)
o Cut three nails
(C) long enough
of fit into these
holes but not
so long that they
interfere with
the threads of the
nipple. Glue
these nails in
position with
epoxy and let dry.
<FIGURE 36>
06p25b.gif (167x167)
o File the top of
the valve seat
so that it is
completely flat
and file away any
epoxy that
remains in the
threads.
<FIGURE 37>
06p25c.gif (167x167)
Make the Valve Prepare a Jig for Drilling
o On a small scrap
of wood, draw a circle with a diameter of
4.7cm.
o Draw a circle
using the same center with a diameter of about
3.0cm and with the
same compass setting, divide this circle
by six equally
spaced points.
<FIGURE 38>
06p26a.gif (224x309)
o Sandwich a piece
of insertion rubber (I) and a piece of galvanized
sheet (H) between
the piece of wood with circles on
it and another
piece of scrap wood about the same size, as
shown.
This sandwich should either be clamped to
the drill
press table, or
drive a few nails in around the outside to
hold it all
together.
<FIGURE 39>
06p26b.gif (353x353)
o Take the sandwich
made in the previous step and drill a
7.5mm (5/16")
hole in the center.
Drill three equally spaced
(120 [degrees] 3mm (1/8") holes.
<FIGURE 40>
06p27a.gif (317x317)
o Partially redrill
the three 3mm (1/8")
holes a short way
into the rubber to
countersink the
head the head of the
screws (M).
<FIGURE 41>
06p27b.gif (281x281)
The holes must be countersunk so that the heads of the
screws
(M) will end up below the surface of the rubber when
assembled.
<FIGURE 42>
06p27c.gif (186x186)
Galvanized Disc
o Take the sandwich
apart and draw
on the galvanized
sheet a circle
a diameter of
4.7cm with the
7.5mm (5/16")
hole as its center.
o Cut around the
circle with a
hacksaw and file
smooth.
<FIGURE 43>
06p28a.gif (186x186)
Rubber Disc
o Align the holes in
the galvanized disk with the holes in the
rubber.
o Trace its outline
on the
rubber.
o Cut the rubber
slightly
larger than this
outline.
<FIGURE 44>
06p28b.gif (167x167)
Assembly
o Assemble the valve
from the galvanized and rubber discs.
Push
the three 3mm
(1/8") bolts (M) all the way into the depressed
holes in the rubber
and loosely put on the nuts. Tighten
them finger
tight. Do not use a screwdriver to
tighten the
bolts.
If they are tightened too much, the rubber
will not
remain flat.
o Put a drop of
epoxy adhesive on the nuts to hold them in
place.
o Trim excess rubber
off the outside edge making sure that this
edge is straight.
o Trim excess rubber
from the center hole with a small file.
<FIGURE 45>
06p29a.gif (256x256)
Make the Valve Guide - Bushing
o Locate the center
and drill a
4.5mm (3/16")
hole using the
6mm (1/4")
bolt or round rod
(L).
o Cut off a section
about 1.3cm
long from this 1/4
inch bolt
or round rod (L).
<FIGURE 46>
06p29b.gif (230x230)
Valve Stop
o Draw a circle
whose diameter is 1.5cm on a scrap piece of 3mm
steel plate (B).
<FIGURE 47>
06p30a.gif (230x230)
o Punch the center
and drill a
4.5mm (3/16")
hole.
o Cut around the
circle with a
hacksaw and file
smooth, making
a steel disc.
Assemble the Check Valve
o Put together the
entire valve assembly as shown below.
The valve should
move up and down
very freely.
<FIGURE 48>
06p30b.gif (281x281)
The bolt and nut (N) should be well tightened.
o Use both a
screwdriver and a wrench to tighten the nut securely.
The screwdriver is
necessary since the epoxy itself
may not hold the
bolt in place.
o Cut the bolt a
little above the
nut and use a
center punch to
widen the end of
the bolt
slightly.
This will prevent
the nut from
unwinding.
When center
punching, rest
the head of the
bolt on a
securely held
metal rod.
<FIGURE 49>
06p31a.gif (393x393)
Make the Snifter Valve
o Measure or
estimate carefully
the diameter of
the cotter
pin or nail (O)
and through one
side of the
nipple, drill a
hole slightly
larger than
this measurement.
o Insert the cotter
pin or nail
through this hole
and bend
the end.
This piece should
be free to move
easily in
and out of the
hole about 0.5 cm.
<FIGURE 50>
06p31b.gif (353x353)

VII. INSTALLATION,
OPERATION, AND MAINTENANCE
The pipe fittings and the two valves should be assembled as
illustrated previously.
The nipple is installed so that the
check valve is on top.
Teflon tape or a joint compound should
be used on all threads before screwing the fittings
together.
The joints at both ends of the half-meter length of pipe
must be
completely leakproof, otherwise the pump will fail to
operate
properly. Probably
the easiest way to verify that the joints
are leakproof is to observe the joints for signs of leaking
while the pump is in operation.
While not as critical, all
other joints should also be water tight.
<FIGURE 51>
06p33.gif (486x486)
When installed on site, the body of the ram should be
secured
firmly to the ground and both the waste and check valves
must be
maintained in a vertical position.
The drive pipe should have a strainer attached made of 1.5cm
screen wire, hardware cloth, or anything suitable.
The strainer
keeps out the trash, frogs, leaves, and fish, any of which
will
stop the ram if they get inside.
The drive pipe should be 4cm
diameter or larger and, if possible, new, solidly put
together,
straight, and well supported throughout its length.
A gate valve
on the drive pipe about 1.5m (4 feet) from the ram is a
great
convenience but not necessary.
Another gate valve on the delivery
pipe is helpful to avoid draining the delivery pipe whenever
the ram is cleaned.
The ram should not be welded to the
delivery and drive pipes so it can be removed for
cleaning. If
you use two or more rams, each must have separate drive
pipes but
the delivery pipes
can be joined, provided the pipe is large
enough to carry the water.
The delivery pipe should start from the ram with about two
lengths of 2.5cm galvanized iron pipe.
After this, 2cm pipe can
be used. The iron
pipe will give the ram better support, but
plastic pipe is smoother inside and can be a size smaller
than
the iron pipe.
Although plastic pipe can be used and is
cheaper, it must be protected from mechanical injury and
sunlight.
It is best to have all the water pumped by the ram to
run directly into a storage tank, to be used from there.
Rams have an exceptionally good reputation for trouble free
operation and are practically maintenance-free.
The way in
which the necessary maintenance is arranged depends very
much on
who is available to carry it out.
There should be someone
familiar with ram operations who could have a look at the
ram at
least once every week.
Tuning and adjustment of valves and bolts may need to be
done
more frequently with this ram than with some commercial
models
made from purpose-designed alloys and components.
The need for
maintenance may become greater as the ram gets older.
Below are some steps that should be taken on a regular basis
for
trouble-free maintenance.
Start with this list when the ram is
not working properly.
o
See that the clack valve closes squarely,
evenly, and
completely. If it does not, the
clack spring may have
been bent
somehow, and will have to be straightened.
o
See that the clack valve does not rub on the
front,
side, or back
of the valve body inside.
o
Check for trash in the ram, delivery valve, or snifter
hole.
o
Check to see that the air dome is not filled
with
water.
It must not be full of water or the ram will
knock loudly
and may break something. The snifter
lets in a bit of air between each of the
strokes and
this keeps
the dome full of compressed air.
o
Check rubber clack and delivery valve for
wear or
looseness.
o
If drive water is in short supply, speed up
the stroke
by loosening the spring tension and
shorten the stroke
by lowering
the stroke adjusting bolt. More water
is
delivered by
a faster stroke and continuous running
than a slower
stroke. (See also p. 46.)
<FIGURE 52>
06p35.gif (317x317)
o
Check for leaks in the drive pipe.
If air bubbles
come out of
the drive pipe after it has been stopped
for a while
it is leaking air. Air in the drive
pipe
causes the
ram action to become inefficient.
o
Clean the ram once in a while.
Protect it from outside
injury and
inquisitive children.
o
When the ram runs out of water, it will
usually
stop, remain
open, and lose all the water available
until it is
closed again. You can listen at the
storage tank to hear if it is still
running; and, if
it isn't, go
to the ram and close the drive pipe
until water
has accumulated in the cistern.
o
Long delivery distances require a larger
pipe to reduce
friction
(known as pressure drop).
o
A cistern (container) is a good thing to
have at the
top of the
drive pipe to let dirt in the water settle.
The outlet
from the cistern to the ram should be a
foot or so
above the bottom to allow room for dirt to
settle.
A cleaning drain in the bottom of the
cistern
is a good
feature. The cistern should be cleaned
periodically.
The actual delivery rate can be changed somewhat by varying
this
stroke. This can be
done either by:
<FIGURE 53>
06p36.gif (207x437)
(1) adding or removing
(2) moving the valve (3) using
a longer or
washers
up and down along
shorter bolt
the threaded
portion of the bolt
NOTE: Generally,
given a site with a specific drive and
delivery
heads, the
rate at which water is delivered and the rate at
which water is
used by the pump are both increased by
increasing the
valve stroke. They will both decrease
by
decreasing the
valve stroke. However, the rate at
which
water is
delivered by this pump cannot be increased indefinitely
by increasing
the valve stroke. With increasing
the valve
stroke, the pump's efficiency decrease sand the
rate at which water is delivered reaches a
maximum and
then
decreases.
V. FURTHER
o P. D.
Stevens-Guille. "How to Make and
Install a Low-Cost
Water Ram Pump for
Domestic and Irrigation Use, "Department
of Mechanical
Engineering, University of Cape Town, August
1977.
Instructions for building a hydraulic ram
pump from
pipe fittings and
valves. Contains some information on
how
it works and how
to set it up. Includes parts of lists,
diagrams, and
tables. Not comprehensive, but clearly
written.
o W. H.
Sheldon. "The Hydraulic Ram,"
Michigan State College
Extension Service,
Michican State College of Agriculture
and Applied
Science, Michigan State University, East
Lansing, Michigan
48823 USA. Bulletin 171, July 1943. Has
some basic
information on ram operation and installation.
some good
illustrations of different methods of installing
hydraulic ram
systems. Also list of information
required
for installing a
ram.
o T. G. Behrends.
"The Farm Water Supply Part II.
The Use of
the Hydraulic
Ram," Cornell University Extension Bulletin
145, June
1926. New York State College of
Agriculture,
Cornell
University, Ithaca, New York USA. A
fairly comprehensive,
well-illustrated
booklet. Includes basic
information as
well as sections on storage tanks, different
types of rams,
etc. Although rather dated, this is one
of
the most useful
booklets on the subject.
APPENDIX I
ADDITIONAL
PERFORMANCE CONSIDERATIONS
The following pages provide guidelines on the ram and its
performance.
Several of the suggestions for design changes, such
as those relating to the possible use of plastic pipe and to
work with higher heads, should be read carefully before
construction
begins.
TEST INSTALLATION
This hydraulic ram was installed for testing as illustrated
below. This level of
water in the standpipe was maintained at
the desired drive head.
The drive pipe consisted of about two
lengths of galvanized iron pipe leading to the pump.
Variable
delivery heads were simulated by imposing a known pressure
(corresponding
to the desired delivery head) on the output.
<FIGURE 54>
06p39.gif (534x534)
PERFORMANCE DATA
The data presented in the graph on the following page are
for
the ram operating with a 10mm valve stroke.
This valve stroke
is the distance the waste valve is permitted to move up and
down. It can easily
be adjusted either to increase or to decrease
the rate at which water is used and the rate at which
water is delivered by the pump from the values from the
graph.
Adjustment of the valve stroke is explained on page 36.
HOW TO USE THE GRAPH
Suppose that a ram with a 1-1/2" drive pipe is to be
located so
that the drive head down to the pump is 3.0 meters and the
water
has to be pumped up to a height of 35 meters above the pump.
(Note that the actual length of the delivery pipe may be
much
longer than 35 meters.)
<FIGURE 55>
06p40.gif (540x540)
o Find the delivery
head along the bottom of the graph.
o Move straight up
until the appropriate curve for a drive
head of 3.0 meters
is reached. This locates the operating
point.
o To determine the
delivery rate, read the scale directly to
the left (about
2.2 liters/minute) or to the right (about
3,200 liters/day).
o To obtain an
estimate of how much water will be used by
the pump, note the
position of the operating point between
the two numbers at
the end points of the curve and interpolate
(about 35
liters/minute).
<FIGURE 56>
06p41.gif (600x600)
The exact drive and delivery rates for another installation
depend on the length and diameter of the drive pipe and
delivery
pipe. A good
estimate of the pump's performance should still be
available from the values of the graph.
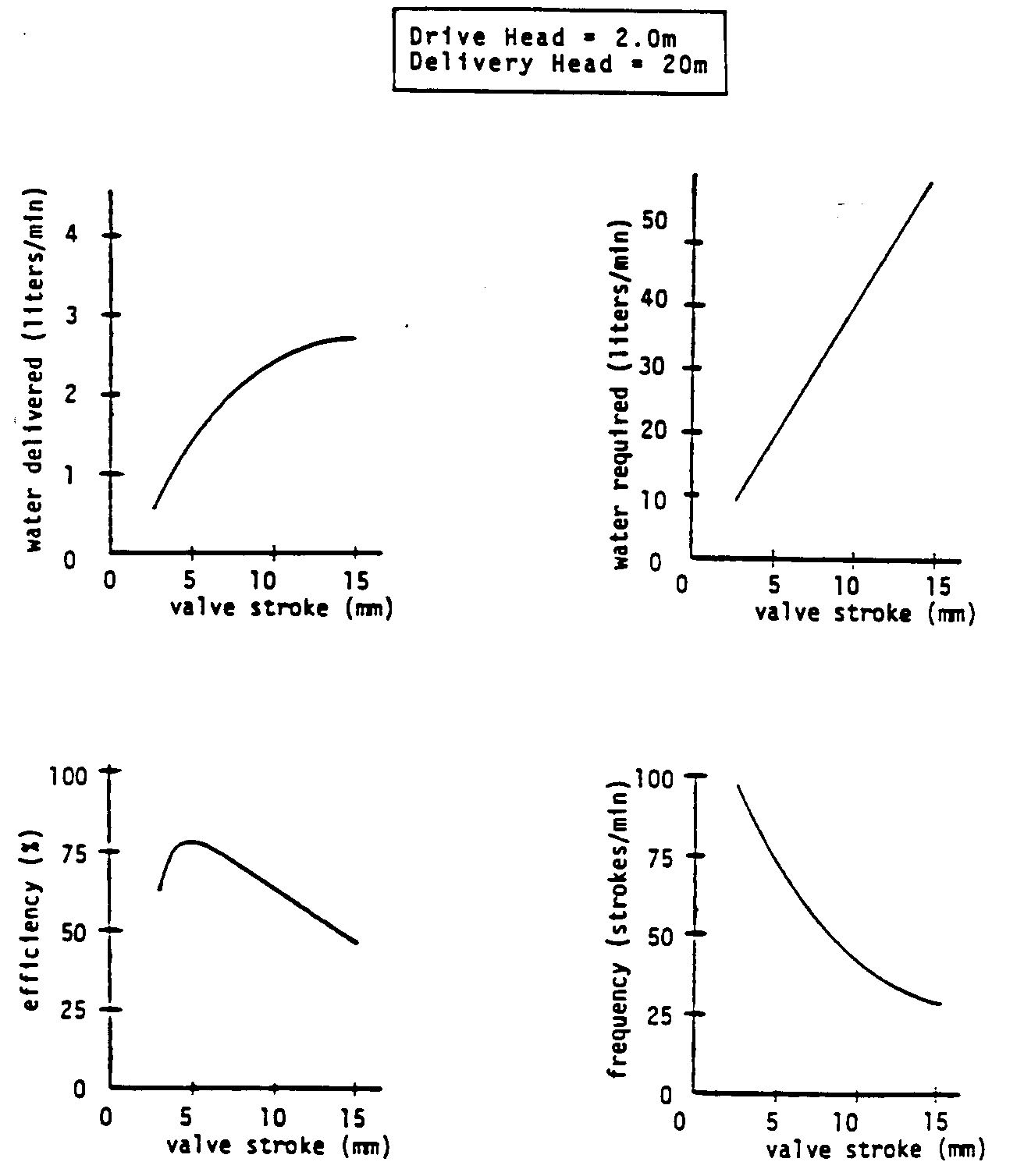
The graphs below are included to illustrate a typical
variation
of drive and delivery rates, efficiency, and frequency
(strokes
per minute) with valve stroke.
<FIGURE 57>
06p42.gif (600x600)
EFFECTS OF OTHER VARIABLES
Size of Air Chamber
The half-meter length of 2" pipe used as the air
chamber for
this ram seems to be perfectly adequate for the flows
delivered
by this pump.
Increasing the size of the air chamber seems to
have negligible effect on its performance.
Drive Pipe Diameter
For cost and weight efficiency, the smaller the diameter of
the
drive pipe, the better.
However, drive pipe diameter also affects
the ram's performance.
A drive pipe with too small a
diameter restricts the flow of water to the pump with the
result
that the pump delivers less water.
The graph below illustrates the effect of the diameter of
the
drive pipe at the test installation on the rate at which
water
is delivered by the pump.
A large diameter pipe proves an advantage
only in cases where larger flows are desired.
The length of the drive pipe
also affects the ram's performance.
If a much longer drive pipe is
used, its diameter must also be
larger to keep losses down.
When low drive heads are used
(about a meter or less),
friction losses in the drive
pipe become more important
since there is less head
available to overcome them.
A larger diameter drive pipe
is then necessary to reduce
losses and permit sufficient
water to reach the pump.
(The
reason there is no curve for a
drive head of 10 meters on the
graph on page 41, when using a
1-1/4" drive pipe, is that
there is insufficient water
flowing through to the pump to
operate it. This
problem is
overcome by using a larger
diameter drive pipe.)
<FIGURE 58>
06p43.gif (486x486)
Pipe diameter also has an effect on
the valve stroke frequency as is
as is illustrated by the graph at
the right. Higher
valve stroke frequencies
are encountered with larger
diameter drive pipes.
This may
imply a faster wear of the valve
shaft and seating rubber (this is
probably of little consequence if
the parts can easily be replaced).
<FIGURE 59>
06p44.gif (486x486)
Mounting of the Ram
It is important to mount the ram securely so that it will
remain
in its proper operating position in spite of tampering,
heavy rains, floods, etc.
Mass of the Waste Valve Plunger
Increasing the mass of the waste valve plunger by using larger
and therefore heavier components has the same effect on the
pump's performance as increasing the valve stroke, i.e., it
reduces the operating frequency of the ram and generally
increases
both the quantity of water used by the ram and the
quantity delivered by the ram.
But for low drive heads or for a
drive pipe of too small a diameter, too heavy a plunger
might
prevent the operation of the pump altogether.
If operating frequencies prove too high (as might be the
case
with drive heads much larger than 4 meters), the quantitiy
of
water delivered by the ram would be small.
Though increasing
the mass of the plunger would decrease the frequency and
increase
the rate at which water is delivered, this might possibly
reduce the life of the valve because of the increased
forces as the valve closes repeatedly.
For such operating
conditions, use of a spring, as explained later, would be a
better solution.
Use of PVC Drive Pipe
Several trial runs were made using a 1-1/2"-diameter,
class 12
rigid PVC pressure pipe (pressure rated to a head of 120
meters).
Though it is known that the
commonly used galvanized
iron pipe is more efficient
than PVC, it was felt that
use of PVC could prove
advantageous on occasions
when ram components have
to be carried on foot
to remote areas.
From testing, it is
apparent that the PVC
drive pipe is slightly
less efficient. The
The graphs at the
right compare the
pump's performance using
1-1/2"-diameter drive
pipes of galvanized
iron and PVC. Note
that in the second
graph, the valve stroke
is set at 10mm and that
it is possible to
increase somewhat the
rate at which water
is delivered by
increasing this
valve stroke.
These data imply that
rigid pressure PVC pipe
could be used for a drive
pipe if necessary.
However,
since durability
tests have not been
carried out with the
PVC drive pipe, it is
difficult to state here
how much, if any, the
life of the pipe would be
reduced by the operation
of the ram.
<FIGURE 60>
06p45.gif (540x540)
If PVC is used, it must be covered, with earth or otherwise,
both to lend some rigidity to the pipe and to protect it
from
the sunlight, which tends to reduce its life considerably.
NOTES
Spring Loading the Waste Valve
If the ram is to be used for drive
heads over 4 meters, operating
ating frequencies become high and
the rate at which water is delivered
consequently decreases.
To increase
this rate, a square ground
square ground compression spring
can be inserted as shown.
This
spring should be made of stainless
steelorotherrust-free alloy.
This spring will keep the
valve open longer, increase the
quantity of water used by the pump,
and increase, to a point, the quantity
of water delivered.
If it is
desired to increase the tension,
washers need simply be used as illustrated
in the second drawing at
the right.
The spring should have a spring
constant of about 10 newtons/cm
or 5 pounds/inch.
Such springs
can be custom-made at low cost by
spring-makers if the spring constant,
the length, and the diameter
of the spring are specified.
<FIGURE 61>
06p46.gif (540x540)
Size of the Snifter Valve
If the snifter valve is too small, the air chamber will fill
with water and the ram will pump with a loud, metallic
sound.
If this should happen, either drill the hole of the snifter
valve slightly larger or use a nail or cotter pin with a
slightly smaller diameter.
If the snifter valve hole is too large, the ram will operate
less efficiently.
APPENDIX II
CONVERSION TABLES
Units of Length
1 Mile
= 1760 Yards
= 5280 Feet
1 Kilometer
= 1000 Meters =
0.6214 Mile
1 Mile
= 1.607 Kilometers
1 Foot
= 0.3048 Meter
1 Meter
= 3.2808 Feet =
39.37 Inches
1 Inch
= 2.54 Centimeters
1 Centimeter
= 0.3937 Inch
Units of Area
1 Square Mile
= 640 Acres =
2.5899 Sq. Kilometers
1 Square Kilometer
= 1,000,000 Sq. Meters =
0.3861 Square Mile
1 Acre
= 43,560 Square Feet
1 Square Foot
= 144 Square Inches =
0.0929 Square Meter
1 Square Inch
= 6.452 Square Centimeters
1 Square Meter
= 10.764 Square Feet
1 Square Centimeter
= 0.155 Square Inch
Units of Volume
1.0 Cubic Foot
= 1728 Cubic Inches =
7.48 U.S. Gallons
1.0 British
= 1.2 U.S. Gallon
Imperial Gallon
1.0 Cubic Meter
= 35.314 Cubic Feet =
264.2 U.S. Gallons
1.0 Liter
= 1000 Cubic Centimeters =
0.2642 U.S. Gallons
Units of Weight
1.0 Metric Ton
= 1000 Kilograms =
2204.6 Pounds
1.0 Kilogram
= 1000 Grams =
2.2046 Pounds
1.0 Short Ton
= 2000 Pounds
= 2.2046 Pounds
Units of Pressure
1.0 Poundsper square inch(*)
= 144 Pounds per square foot
1.0 Pounds per square inch(*)
= 27.7 Inches of Water(*)
1.0 Pounds per square inch(*)
= 2.31 Feet of Water(*)
1.0 Pounds per square inch(*)
= 2.042 Inches of Mercury(*)
1.0 Atmosphere
= 14.7 Pounds per squareinch
(PSI)
1.0 Atmosphere
= 33.95 Feet of
Water(*)
1.0 Foot of Water =
0.433 PSI = 62.355 Pounds per
square foot
1.0 Kilogram per
square centimeter = 14.223 Pounds per
square inch
1.0 Pounds per
square inch(*) = 0.0703 kilogram
per square
centimeter
(*) at 62 F or 16.6 C
Units of Power
1.0 Horsepower (English)
= 746 Watt =
0.746 Kilowatt (kw)
1.0 Horsepower (English)
= 550 Foot pounds per second
1.0 Horsepower (English)
= 33,000 Foot pounds per minute
1.0 Kilowatt (KW) = 1000 Watt
= 1.34 Horsepower (HP) English
1.0 Horsepower (English)
= 1.0139 Metric Horsepower
(cheval-vapeur)
1.0 Metric Horsepower
= 75 Meter X Kilogram/second
1.0 Metric Horsepower
= 0.736 Kilowatt
= 736 Watt
APPENDIX III
DECISION-MAKING WORK SHEET
If you are using this as a guideline for using the Hydraulic
Ram
in a development effort, collect as much information as
possible
and if you need assistance with the project, write
VITA. A
report on your experiences and the uses of this handbook
will
help VITA both improve the book and aid other similar
efforts.
Publications Service
Volunteers in Technical Assistance
1600
Wilson Boulevard, Suite 500
Arlington, Virginia 22209 USA
CURRENT USE AND AVAILABILITY
o Describe current
agricultural and domestic practices that
rely on water at
some point.
o What water sources
are available? Note whether sources are
small but
fast-flowing, large but slow-flowing, etc.
o Are there dams
already built in the area? If so, what
has
been the effect of
the damming? Note particularly are
evidence having to
do with the amount of sediment carried
by the water-too
much sediment can create a swamp.
o If water resources
are not now harnessed, what seem to be
the limiting
factors? Does the cost of the effort
seem
prohibitive?
Does the lack of knowledge of water power
potential limit
its use?
NEEDS AND RESOURCES
o How is the problem
identified? Who seems it as a problem?
o Has any local
person expressed the need for a water
lifting or pumping
technology? If so, can someone be
found to help the
technology introduction process? Are
there local
officials who could be involved and tapped
as resources?
o How will you get
the community involved with the decision
of which
technology is appropriate for them?
o Based on current
agricultural and domestic practices, what
seem to be the
areas of greatest need? Is irrigation
water
needed some
distance from thte water supply? Are
stock
watering tanks or
ponds required?
o Are tools and
materials for constructing the ram and its
associated
equipment available locally? Are local
skills
sufficient?
Some applications demand a rather high
degree
of construction
skill, although less maintenance skill is
required.
o Is there a
possibility of providing a basis for small
business
enterprise?
o What kinds of
skills are available locally to assist with
construction and
maintenance? How much skill is
necessary
for construction
and maintnenace? Do you need to train
people?
Can you meet the following needs?
o
Some aspects of the project require someone
with
experience in surveying.
o
Estimated labor time for full-time workers
is:
-
8 hours skilled labor
-
40 hours unskilled labor
o
If this is a part-time project, adjust the
times
accordingly.
o Do a cost estimate
of labor, parts, and materials needed.
o How will the
project be financed?
o What is your
schedule? Are you aware of holidays and
planting or
harvesting seasons that may affect timing?
o How will you
spread information on and promote use of the
technology?
IDENTIFY THE APPROPRIATE TECHNOLOGY
o Is more than one
water supply technology applicable?
Weight the costs
of various technologies--relative to each
other--fully, in
terms of labor, skill required, materials,
installation, and
operation costs. While one technology
may appear to be
much more expensive in the beginning, it
could work, out to
be less expensive after all costs are
weighed.
o Are there choices
to be made between, say, a ram and a
windmill?
Again, weigh all the costs:
feasibility, economics
of tools and
labor, operation and maintenance, social
and cultural dilemmas.
o Are there local
skilled resources to guide the introduction
of this
technology? Dam building, and
irrigation equipment,
for example,
should be considered carefully before
beginning work.
o Could a technology
such as the hydraulic ram be usefully
manufactured and
distributed locally?
o What changes would
the proposed technology make on the
economic, social,
and cultural structure of the area?
o Are there
environmental consequences to the use of this
technology?
What are they?
FINAL DECISION
o How was the final
decision reached to go ahead with this
technology?
Or, why was it decided against?
APPENDIX IV
RECORD-KEEPING WORK SHEET
CONSTRUCTION
Photographs of the construction process, as well as the
finished
result, are helpful.
They add interest and detail that might be
overlooked in the narrative.
A report on the construction process will include much very
specific information.
This kind of detail can often be monitored
most easily in charts (see below).
Some other things to
record include:
o Specification of
materials used in construction.
o Adaptations or
changes made in design to fit local
conditions.
o Equipment costs.
o Time spent in
consturction--include volunteer time as well
as paid labor;
full- or part-time.
o Problems--labor
shortage, work shortage, training difficulties,
materials
shortage, terrain, transport, vandalism.
Labor Account
Hours Worked
Name
Job
M T W T F S S
Total Rate?
Pay?
1
2
3
4
5
Totals
Materials Account
Item
Cost
Reason Replaced
Date Comments
1
2
3
4
5
Totals (by week or month)
MAINTENANCE
Maintenance records enable keeping track of where breakdowns
occur most frequently and may suggest areas for improvement
or
strengthening weakness in the design.
Furthermore, these records
will give a good idea of how well the project is working out
by
accurately recording how much of the time it's working and
how
often it breaks down.
Routine maintenance records should be kept
for a minimum of six months to one year after the project
goes
into operation.
Labor Account
Also down time
Name
Hours & Date
Repair Done
Rate? Pay?
1
2
3
4
5
Totals (by week or month)
Materials Account
Item
Cost Per Item
# Items Total Costs
1
2
3
4
5
Total Costs
OPERATION
Keep log of operations for at least the first six weeks,
then
periodically for several days every few months.
This log will
vary with the technology, but should include full
requirements,
outputs, duration of operation, training of operators, etc.
Include special problems that may come up--a damper that
won't
close, gear that won't catch, procedures that don't seem to
make
sense to workers.
SPECIAL COSTS
This category includes damage caused by weather, natural
disasters, vandalism, etc.
Pattern the records after the routine
maintenance records.
Describe for each separate incident:
o Cause and extent
of damage.
o Labor costs of
repair (like maintenance account).
o Material costs of
repair (like maintenance account).
o Measures taken to
prevent recurrence.
========================================
========================================